李蕾副教授发表奇异粲介子半轻衰变Ds+→K0μ+νμ的首次测量结果
2026年4月22日,理论物理顶级学术期刊《物理评论快报》(Physical Review Letters)在线发表了北京正负电子对撞机北京谱仪III实验(BESIII)奇异粲介子Ds+ 衰变至末态含缪子的半轻衰变Ds+→K0μ+νμ的首次测量结果(文章题目:《First Measurement of the Ds+→K0μ+νμ Decay》;期刊号:Phys. Rev. Lett. 136, 161802 (2026))。欧美色情
李蕾副教授主导完成了该项研究工作,为论文的第一作者和通讯作者(按照国际高能物理实验组论文署名规则,作者名单按照姓氏字母排序,作者贡献由合作组内部相关文档记录为准)。
根据粒子物理标准模型理论,粲介子的半轻衰变是提取强子内部的强相互作用和弱相互作用信息的理想场所。半轻衰变Ds+→K0μ+νμ的微分跃迁率,依赖于初态和末态强子间参数化强相互作用耦合强度的形状因子与粲夸克弱衰变中参数化弱作用耦合强度的CKM矩阵元|Vcd|的乘积。因此,通过研究Ds+→K0μ+νμ半轻衰变,既可以提取标准模型理论中描述弱相互作用的基本参数|Vcd|,又可以直接测量参数化强相互作用的形状因子,以实现对包含格点量子色动力学理论(LQCD)在内的多种非微扰理论计算进行严格的实验检验和刻度的物理目标。此外,在粲强子半轻衰变中,格点QCD计算显示其衰变形状因子对旁观者夸克不敏感,并预言在Ds+→K0 和 D+→π0 两衰变中形状因子零点值的差异不超过5%。因此,如能在粲介子半轻衰变中精确验证该预言,则将显著提升格点QCD在高能区B介子半轻衰变中计算形状因子的可信度,对实验上提取CKM矩阵元|Vub|具有重要的科学意义。然而,当前相关实验测量的精度还是相对有限的。

图一:从正负电子对撞数据中筛选出的Ds+→K0μ+νμ衰变事例显示图。
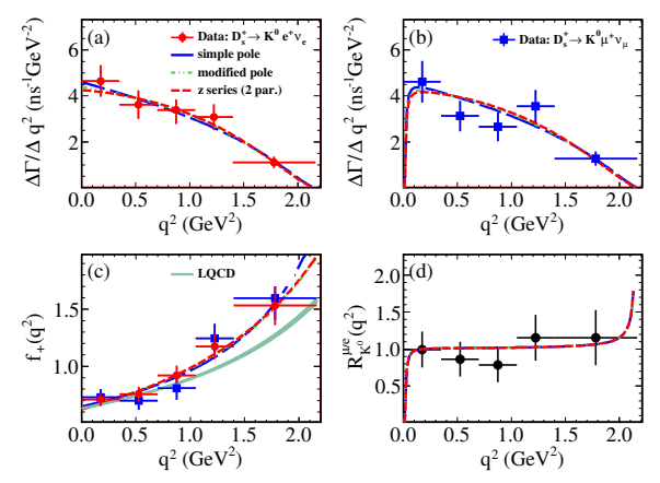
本研究工作通过分析北京谱仪III实验在质心系能量4.128-4.226 GeV区间采集的7.33/fb正负电子对撞数据,在国际上首次报道了Ds+→K0μ+νμ衰变的测量结果。由于衰变末态中包含一个与探测器物质相互作用极弱的中微子,研究团队通过构建运动学参量Umiss=Umiss-Pmiss,即利用重建事例中丢失的能量减去丢失的动量,以探测中微子。通过对Umiss分布进行细致分析,本工作从复杂的数据本底中分离出14714个Ds+→K0μ+νμ衰变信号事例,并在国际上首次测定其衰变率为(0.289±0.027±0.012)%。结合课题组此前报道的Ds+→K0e+νe衰变事例【Phys. Rev. D 110, 052012 (2024)】,通过对Ds+→K0μ+νμ和Ds+→K0e+νe衰变的微分跃迁率与四动量转移平方q2的运动学依赖作联合拟合分析(如图2所示),提取出描述衰变动力学特征参量的信息。研究利用z-级数多级展开模型参数化形状因子,直接测定Ds+→K0衰变中形状因子的零点值f+K0(0)与CKM矩阵元|Vcd|的乘积为f+K0(0)|Vcd|=0.140±0.008±0.003。输入CKMfitter作联合拟合得到的|Vcd|=0.22487±0.00068,测定f+K0(0)=0.623±0.036±0.011,该测量结果与格点QCD的理论计算值0.6307±0.0020在一倍标准差内符合。在此基础上,本工作也从实验数据中提取了形状因子随四动量转移平方q2的运动学依赖特征(如图3显示)。对比发现,在四动量转移平方较大的区间,格点QCD理论的计算值与实验测量值之间存在大约2倍标准差的偏离。将实验测量值与来自其它理论模型如CLFQM, CCQM, RQM, 和 hQCD等计算的结果做对比,也显示有相似的差异。 
图 2:半轻衰变 (a) Ds+→K0e+νe 和 (b) Ds+→K0μ+νμ分宽度的联合拟合结果。(c) 数据中测量的 Ds+→K0 衰变的形状因子随q2的运动学依赖。(d) 不同q2区间内测量的Rμ/e(q2) 值。

图 3:Ds+→K0衰变中测量的形状因子 f+(q2) 的运动学依赖与多种理论计算的比较图。
研究工作还首次利用Ds+→K0衰变验证了标准模型理论预言的轻子普适性。本工作测量了Ds+→K0μ+νμ 和Ds+→K0e+νe衰变在全部四动量转移区间以及在部分四动量转移平方区间内的衰变分宽度的比值。实验测量结果与标准模型预期一致,如图3(d)所示。结合格点QCD理论计算的形状因子零点值f+K0(0)=0.6307±0.0020以及本工作中测量的f+K0(0)|Vcd|值,测定|Vcd|=0.222±0.013±0.005,这是从Ds+→K0衰变中提取的最精确的实验测量结果。图4显示了本实验测量的形状因子零点值f+K0(0)和CKM矩阵元|Vcd|值,与多个文献中报道结果的对比图。此外,结合在本工作中研究团队测量的f+K0(0)|Vcd|=0.140±0.008±0.003,以及在D+→π0 衰变中测量的f+π(0)|Vcd|=0.1407±0.0025,可提取出形状因子零点值的比值为f+K0(0)/f+π (0) =0.995±0.061。该测量结果与格点QCD理论预言的形状因子对旁观者夸克不敏感这一计算结果一致。

图 4:(a)测定的形状因子零点值与多种理论计算结果的比较图. (b) 测定的CKM矩阵元|Vcd| 与理论文献的对比图。
论文刊号: Phys. Rev. Lett. 136, 161802 (2026)
论文链接: //link.aps.org/doi/10.1103/bk2n-lgps